The given cost-effectiveness acceptability curve (CEAC) is drawn using the data from the hypothetical study on treatment of depression. What is the probability of cost-effectiveness if the society is willing to pay £150 for every depression-free day?
A. How does a decision maker decide on the willingness to pay (λ)?
The net benefit approach forces decision makers to directly consider the issue of valuing additional patient outcomes. The INB can be computed with various λ s and analyzed using multiple regression techniques. How sensitive the results are to the assumed λ value can be gauged using a cost effectiveness acceptability curve (CEAC). The CEAC shows the probability that a new treatment is cost-effective for different values for λ. So in the given question, if λ is £150, the probability of it being cost-effective is >90%. But if the λ is £10, the probability is less than 25%. At the same time, the probability of cost-effectiveness is also >90% if λ was £100. So, it would be sensible for the decision maker to pay £100 for every depression-free day, rather than a £150.
References:
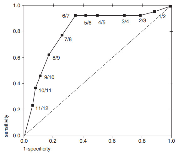
A new 12-point scale with scores from 1 to 12 (1 being not depressed and 12 being the highest degree of depression) was developed to screen for depression in a population of patients with dementia. The scale was tested against the gold standard of DSM-IV in a small study. The neurologists using the test wanted a score that would identify a depressed person from a non-depressed based on this instrument. A statistician involved in the development of this instrument mailed the following graph to the neurologists. Answer Questions 92–96 based on the graph below.
What is the above graph called?
C. This is a receiver operator curve (ROC). Scores on scales are usually considered to be continuous variables. Although dichotomizing continuous data leads to loss of information, in clinical practice, it makes sense to deal with dichotomous variables. For instance, with the new scale in the question, it would make sense if we can differentiate a depressed patient from a non-depressed patient, rather than just saying patient A had a greater score than patient B. In this situation, we should know where the ideal cut-off for the scale is. However, because the distributions of the scores in these two groups most often overlap, any cut-off point that is chosen will result in two types of errors: false negatives (that is, depressed cases judged to be normal) and false positives (that is, normal cases judged to be depressed). Changing the cut-off point will change the numbers of wrong judgments but will not eliminate the problem. The cut-off point also depends on if we want the test to be more sensitive (as in a screening test) or more specific (as in diagnostic tests). The ROC helps us to determine the ability of a test to discriminate between groups and to choose the optimal cut-off point.
Reference:
What does 1 – specificity represent?
A. The test in question is a 12-item scale that has a potential score ranging from 1 to 12. The sensitivity and specificity of each cut-off score (in this case, there will be 11 possible cut-off scores, as shown in the figure) is calculated with reference to the gold standard used to diagnose depression (in this case, DSM-IV). These pairs of values are plotted, with (1 – specificity) on the x-axis and the sensitivity on the y-axis, yielding the curve in the figure in question. Note that the true positive rate is synonymous with the term sensitivity, the true negative rate is the same as specificity, and the false positive rate means the same as (1 – specificity); they’re simply alternative terms for the same parameters. For simplicity, the graph can be depicted as below
What does the dotted line represent?
C. The dotted line represents a test that is useless in discriminating a depressed from a non-depressed person. A perfect test would run straight up the y-axis until the top and then run horizontally to the right. The more the ROC deviates from the dotted line and tends towards the upper left-hand corner, the better the sensitivity and specificity of the test.
Which cut-off point provides the best acceptable combination of sensitivity and specificity?
E. From the graph, we can see that the more the ROC curve deviates from the dotted line and tends toward the upper left-hand corner, the better the sensitivity and specificity of the test. Hence it is generally considered that the cut-off point that’s closest to this corner is the one that minimizes the overall number of errors (‘the best trade off’); in this case, it is 6/7. Since the scale in our question is a screening test for depression, we would want it to be more sensitive rather than specific. As we can see from the figure, a cut-off score of 11/12 would give excellent specificity, but very poor sensitivity, thus increasing the false negative rates.